Easement And Right Of Way . Easements vs. Rights of Way Whats The difference? Rights of Way What's the Difference? Easements and rights of way are both legal concepts that grant certain rights to individuals or entities over another person's property An easement is a specific right granted to someone to use another person's property for a specific purpose, such as accessing a neighboring property or.
RightofWay vs Easements? YouTube from www.youtube.com
A right of way is an easement that allows another person to travel or pass through your land In some older homes, changes in the development of the area may have caused an easement or right of way
RightofWay vs Easements? YouTube Understanding the difference between the easements and right of way is an essential first step for consumers in a wide array of industries. There are public and private rights of way but neither affects ownership That way, you will know the exact location of the easement, its size and scope and how it can be used.
Source: drshopquc.pages.dev Easement of Right of Way_sample Easement Land Lot , It's very difficult (sometimes impossible) to remove or change and easement or right of way once you own the property. Learn how these concepts impact real estate transactions, offering clarity for property owners and developers alike.
Source: bisbisuso.pages.dev Sample Grant of Right of Way Easement Property Law , An easement is a specific right granted to someone to use another person's property for a specific purpose, such as accessing a neighboring property or. Unlock the secrets of property access with our detailed exploration of right of way and easement distinctions
Source: kohmbrausd.pages.dev Who Owns RightofWay Property? Best Local Lawyer Guide , Normally, these activities would be considered trespassing, but you can grant an easement to allow individuals to legally access your property Learn how these concepts impact real estate transactions, offering clarity for property owners and developers alike.
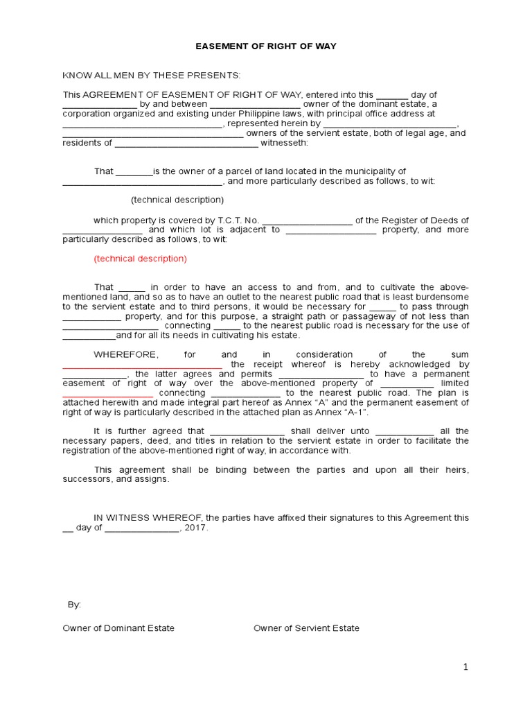
Source: thestrixskx.pages.dev Easement Right Way Agreement Complete with ease airSlate SignNow , That way, you will know the exact location of the easement, its size and scope and how it can be used. Normally, these activities would be considered trespassing, but you can grant an easement to allow individuals to legally access your property
Source: ecgwaakrb.pages.dev PPT Utility Right of Way and Easement Issues PowerPoint Presentation ID417206 , That way, you will know the exact location of the easement, its size and scope and how it can be used. It's very difficult (sometimes impossible) to remove or change and easement or right of way once you own the property.
Source: vizhmarzqp.pages.dev The Law On Easement of Right of Way Download Free PDF Easement Ownership , Normally, these activities would be considered trespassing, but you can grant an easement to allow individuals to legally access your property Be sure that you understand what that easement vs right of way is before committing to buying a home
Source: topnicezgx.pages.dev What Are Easements & Why Should I Care? , These two concepts frequently cause confusion among property owners and can lead to disputes, especially when property boundaries or usage rights are unclear. However, there are some key differences between the two
Source: zotifyfje.pages.dev Iris Avenue Right of Way and Easements Fact Sheet City of Boulder , You can ask the title company, your attorney or your real estate agent for the documents surrounding the original easement in order to review the details It's very difficult (sometimes impossible) to remove or change and easement or right of way once you own the property.
Source: fabrikiap.pages.dev Easement of Right of Way PDF Easement Property , Understanding the difference between the easements and right of way is an essential first step for consumers in a wide array of industries. At Schorr Law, we specialize in helping clients resolve real estate disputes, particularly those involving complex legal terms like right of way and easements
Source: mdnwindwr.pages.dev Right of Way Agreement Complete with ease airSlate SignNow , Unlock the secrets of property access with our detailed exploration of right of way and easement distinctions You can ask the title company, your attorney or your real estate agent for the documents surrounding the original easement in order to review the details
Source: repodzsvo.pages.dev What Is An “Easement” or “RightofWay”? Default Root Site , Understanding the difference between the easements and right of way is an essential first step for consumers in a wide array of industries. If you own real estate or are looking to buy, you need to know about easement, or the right of others to use your land.
Source: crowdupxoj.pages.dev Easements? RightofWays? What are those? ALLO Fiber , Rights of Way What's the Difference? Easements and rights of way are both legal concepts that grant certain rights to individuals or entities over another person's property You can ask the title company, your attorney or your real estate agent for the documents surrounding the original easement in order to review the details
Source: kjpnycvmu.pages.dev Urban Forestry Right of Way — City of Hamilton, OH , Continue reading to learn what each agreement is and how they differ! Rights of Way What's the Difference? Easements and rights of way are both legal concepts that grant certain rights to individuals or entities over another person's property
Source: aqglobalgyn.pages.dev Realomate Blog What is a Right of Way Easement? , A right of way is an easement that allows another person to travel or pass through your land Learn how these concepts impact real estate transactions, offering clarity for property owners and developers alike.
Source: sewnoqeqrb.pages.dev Right of Way / Easement Webster, NY Official Website , Unlock the secrets of property access with our detailed exploration of right of way and easement distinctions Rights of Way What's the Difference? Easements and rights of way are both legal concepts that grant certain rights to individuals or entities over another person's property
Sample Grant of Right of Way Easement Property Law . Understanding the difference between the easements and right of way is an essential first step for consumers in a wide array of industries. A private right of way is to allow a neighbor to cut through your property to make his access easier.
Creating Clear Pathways Understanding the Distinctions Between Right of Way and Easement O.R . Learn how these concepts impact real estate transactions, offering clarity for property owners and developers alike. However, there are some key differences between the two